Akimova Mapgarita Konstantinovna Doctor of Psychological Sciences, Full Professor Russian State University for the Humanities
Persiyantseva Svetlana Vladivirovna Candidate of Psychological Sciences, Associate Professor Russian State University for the Humanities, Scientific Secretary, Psychological Institute of Russian Academy of Education
Keywords: positions of the subject of the study, structural equation modeling, cognitive component, regulatory component, personal-semantic component.
Introduction
The position of the subject of the study - a psychological system. The psychological system is formed under the influence of the emergence and development of a number of formations and connections between them. These formations: meta-knowledge, reflection, self-regulation in learning, selectivity and emotional assessment of one's own achievements, determine the consistency of the development of the cognitive and personal spheres of the individual "meeting of affect and intellect" (Vygotsky's metaphor).
Schoolchildren and students are the subject of learning. They master educational knowledge and correlate this knowledge, abilities, and skills with the content of their own experience. Own experience is formed in the process of accumulating knowledge spontaneously formed in life practice and knowledge formed at the previous stages of the educational process. This method of teaching leads to the emergence of a selective attitude towards academic subjects and to a more detailed understanding of the educational material.
Each schoolboy and student study within a strictly regulated curriculum (training programmes, mode of instruction, teaching methods, etc.). Their subjective activity is manifested in an emotional attitude to the educational process, in questions to the teacher, in the search for their own methods of educational work, in their preferred types of educational activity.
Selectivity in relation to different areas of knowledge can stimulate the need to independently find and use new methods of processing educational material, transforming them, monitoring and correcting them. At the same time, the regulation of cognitive activity is possible only on the basis of reflection of its process and result.
In this study, the dynamic system of the position of the subject of the study, developed by ED Bozhovich, was used as a starting point for SEM [1].
Structural equation modeling, or SEM, as a statistical method for analyzing empirical data, is a combination of many known methods: factor analysis, correlation, analysis of variance and covariance, multiple regression.
The SEM methodology provides, firstly, the preliminary construction of a structural model with directed, undirected connections between the studied constructs, and secondly, checking for compliance with empirical data and corrections. The software allows you to assess the degree of conformity of the model to the original data and the model parameters (regression and correlation coefficients). A model is recognized as consistent (confirming the initial hypotheses) if, according to the accepted criteria, it corresponds to the initial data, and the model parameters are statistically significant [5].
Materials and methods
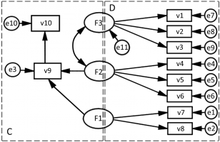
In the article presented a diagram of the concept of the position of the subject of the study using the method of structural modeling (Fig. 1). The factors of the model are the components of the concept ("cognitive component", "regulatory component", "personality-semantic component").
Factor F1 ("cognitive component") includes such criteria as subject knowledge and skills (Fig. 1.-v7) (reproduction of learned material; interpretation of facts related to the studied material), techniques and means of information processing (v8) (formalization of acquired knowledge in in the form of tables and diagrams; techniques for working with text; building an action based on a sample of a finished product). The specific indicator “methods of educational work” (v9) of the “meta-knowledge” criterion, that is, (supra-subject) knowledge about knowledge, techniques and means of processing information given in different sign forms, can be correlated with factor F1 (“cognitive component”) and with the factor F2 ("regulatory component"). It is obvious that the indicators of the cognitive and regulatory components are in a relationship not of mutual influence, but rather of the unidirectional influence of a weaker criterion on a stronger one, lowering its level and development prospects. For example, a student with high competence in the discipline can successfully solve a non-standard problem. However, by acting non-reflectively, become unable to find a solution to a non-standard problem on another educational material. In this case, his level of competence suffers. A low level of competence limits the search for new methods of educational work with academic material, and, consequently, techniques, means of regulation, since reflection in this case is simultaneously directed at the object (educational task) and at one's own actions with the object.
Factor F2 ("regulatory component") contains the criterion - self-management based on reflection (self-correction of educational work (v4), critical analysis of the given techniques, their transformation; secondary criticism (v5)). Another criterion of the regulatory component is the factors of success and failure of educational work (v6) (locus of control). Locus control is viewed in psychology as a search for causes in external circumstances and a search for reasons in oneself. There is one more understanding of the locus of control - self-control in the process and self-control in the result of the educational process. The adequacy and completeness of autodiagnostics, the development of methods for overcoming errors are specific indicators of the criterion "autodiagnostics of the causes of mistakes" of the regulatory component. Intersections of self-correction indicators and adequacy, completeness of autodiagnostics are possible, since full-fledged self-correction is possible only on the basis of autodiagnostics. This issue requires empirical verification that can be done using a simulated structural equation.
Factor F3 ("personality-semantic component") includes education as a value (v1) (a type of value attitude towards education in the context of personal values); motivational plan of cognitive activity (v2) (achievement motivation - to be the first in the class, in a group, or at least not the last. Social motivation - the satisfaction of others. This motivation has intersections with the orientation towards social assessment and with the orientation towards self-assessment). Another important motive is the avoidance of punishment (v3). If a child is punished at home for poor performance, then he will teach without even understanding the teaching material. The motive (avoidance of punishment) intersects with the value of education and intersects with metazeniya. The child will create meta-knowledge in himself, since he is interested in the very process of learning activity [6].
D – Measuring component of the model; C – Component of the model paths.
The emphasis in this study is on the formulation of the problem - to what extent the concept of the position of the subject of the study lends itself to formalization with the help of new research methods that are currently proposed in science.
Results
Schematization makes the work fundamentally relevant. We assume that the identified indicators of the components of the position of the subject of the study have intersections with each other. So, the indicator of selective attitude to a subject and to a specific educational material is associated with self-government and with factors of success and failure. The indicator of selective attitude to the subject is also associated with motivation and value attitude to education. These assumptions require empirical testing.
In the previous publications of E.D. Bozhovich, external and internal connections between the components ("cognitive component", "regulatory component", "personality-semantic component") of the system of the position of the subject of the study were shown, but connections between the indicators of these components were not considered [2,3]. As in previous publications by S.V. Persiyantseva, steps were taken to study the relationship between individual indicators of the dynamic system of the study, and not the entire system as a whole [7,8,9].
With the help of structural modeling of the method, it is possible to determine the type of relationships between variables: directed (causal) or undirected (correlation); explicit (measured) or latent (hypothetical constructs). Research hypotheses are formulated in these terms.
Using the scheme, we can empirically check the presence or absence of relationships between the indicators of the components of the position of the subject of the study, which are the variables of the given model. Relationships between variables are graphically depicted in the form of a block diagram, which is transformed into a system of linear regression equations using a computer program (for example, SPSS; AMOS; IBM) [5]. The software makes it possible to understand the degree to which the model matches the original data. The model is recognized as consistent - the parameters of the model are statistically significant.
When starting to test hypotheses of a study, you must go through all the stages of applying SEM.
The first stage - formation of the model. The model graphically depicts the researcher's speculation about the structure of directed and undirected relationships between variables and latent constructs. Variables should be quantitative and normally distributed. It is possible to use categorical variables if the categories are ordered. It is permissible to include in the model binary variables (taking only two values - 0 or 1 from a combination of factors), for example, the gender of the subject. Since the method of structural modeling is quite new, the generally accepted requirements for assessing a satisfactory sample size have not yet developed. In international and domestic science, they are still guided by certain criteria proposed by R. Kline [4], based on the ratio of the number of subjects and the number of evaluated parameters. In accordance with his recommendations, the ideal sample size should be considered to be 20 times the number of parameters being evaluated. If the number of subjects is 10 times greater than the number of evaluated parameters, then such a sample can be considered acceptable. A 5-fold excess of the sample size over the estimated parameters is considered insufficient for confidence in the reliability of the results obtained.
The second stage of SEM - the level of model identification is quantified by comparing the number of free variables and the amount of initial information. Initial data are presented as the number of elements of the covariance matrix of variables. Moreover, the covariance matrix must be positive definite, otherwise the analysis will be impossible. This means that there are no equal or close relationships between the variables.
The third step of SEM - evaluate and test the model for agreement. To evaluate the model, the Maximum Likelihood method is used if the requirement is met: normal distribution of variables. Alternatively, the Approximately free of distribution method is applied. When checking the fit of the model, the value between the original data and what the model predicts is estimated, focusing on the indices of goodness. The decision on the agreement of the model is made on the basis of a number of criteria, the traditional of which is the Chi-square distribution and its statistical significance.
The next and final stage - model correction. When constructing a model, a researcher often encounters a discrepancy between the original covariance matrix and the reproduced matrix in according to the model. In this regard, it becomes necessary to correct the model. This is done either by eliminating statistically unreliable relationships, thereby increasing the value of the model, or by adding new relationships between indicators to improve model agreement. Of course, in this case, the model becomes more cumbersome, and therefore less concise and economical.
The logic of the organization and conduct of the experiment is aimed at proving the causal relationship between the independent and dependent variables, while it is necessary to control additional variables and take into account the influence of side variables on the dependent variable. It is the consideration of these conditions that makes it possible to build a well-planned experiment. An important advantage of SEM is the ability to draw conclusions about the more likely direction of causation based on correlation studies. This possibility appears if the model includes explicit variables that can only be exogenous (independent), such as gender, age, environmental influences, sociodemographic characteristics, etc.
Conclusion
The theoretical assumptions put forward in this work, about the presence of internal and external connections between the criteria of each component and specific indicators of the position of the subject of the study, require empirical confirmation. For empirical verification, it is necessary to translate the qualitative characteristics of indicators into quantitative values. We will be guided in the future if there is a certain indicator for a specific score or number of points. At the same time, points are selected taking into account the weight category, i.e. the specific weight of each point. The schematization of the concept of the position of the subject of the study using the method of structural modeling (SEM) represents a new step in scientific methodology. The method of structural modeling is dominated by deductive logic and conformational approach. With the help of SEM, we will be able not only to build alternative models of the dynamic system of the position of the subject of the study, but also to check their consistency with the initial data, to draw conclusions about the direction of causal connections, which requires further empirical research and statistical processing.
References
- Bozhovich E.D. Position of the subject of the study: personal and cognitive foktors // Questions of psychology. 2017. Vol. 6. P. 16-30.
- Bozhovic E.D. Psychodidactic issues of the development of the student as a subject of the study // Psychological and pedagogical problems of the development of the student as a subject of the study / Ed. E.D. Bozhovich. M., Voronezh: MPSI, NPO MODEK, 2000. P. 6-25.
- Bozhovic E.D. The position of the subject of the study as a psychological system. M.: Monuments of historical thought, 2013. 294 p.
- Kline, R. B. Principles and practice of structural equation modeling. 3nd ed. New York: The Guilford Press, 2011.432 p.
- Nasledov, A.D. IBM SPSS STATISTICS 20 AND AMOS: Professional Statistical Data Analysis. SPb.: Peter, 2013.416 p.
- Persiyantseva S.V. Structural model of the concept of the position of the subject of learning // Psychology. Historical and critical reviews and modern research. 2016. T.5. Vol. 6A. P. 236-246.
- Persiyantseva S.V. Diagnostics of the peculiarities of the study and personal qualities of students // Education and development: modern theory and practice: materials of the XVI International readings in memory of L.S. Vygotsky November 16-20, 2015. M.: RGGU, Lev, 2015. P. 159- 163.
- Persiyantseva S.V. Differences in the cognitive component of the position of the subject of the study, depending on the independence of thinking // International education and professional self-realization: collection of articles. SPb.: NITs ART, 2015. P. 164-168.
- Persiyantseva S.V. Features of the relationship between the position of the subject of learning and the manifestation of independence, selfregulation in the educational process // Personal resource of the subject of labor in changing Russia: collection of articles. scientific. works on the results of the IV Intern. scientific and practical. conf. Kislovodsk, Moscow, Stavropol: Tesera, 2015. P. 94-98.
Комментарии
Добавить комментарий